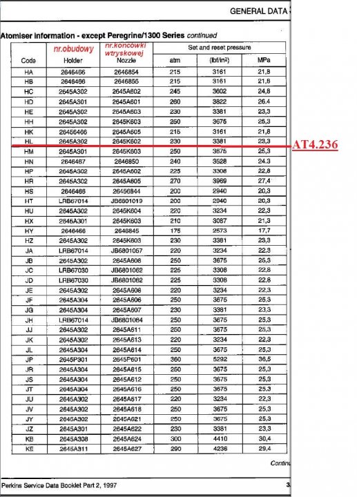
Ciśnienie wtrysku MF698T
Sprawdź Ciśnienie wtrysku MF698T na AgroTesty.pl
Massey Ferguson 3070 Dane techniczne
-
Podobna zawartość
-
Przez Scoti
Witam mam problem ze skrzynia a mianowicie rozbierałem dekiel skrzyni bo troche ciekł uszczelniłem i złożyłem jak odpaliłem to biegi na zakresie B były na odwrót a na A dobrze czyli jak włączałem bieg do przodu na B to jechał do tyłu a jak R to do przodu co mogłem źle złożyć ? prosze o szybką pomoc dzieki
-
Przez swiety791
Witam szanownych forumowiczów.
Panowie. Mam problem ze swoim MF 3070. Podczas ruszania i wolnej jazdy szarpie mi przednimi kołami. Napęd normalnie mozna włączać i wyłączać. Jak napęd jest właczony jest wszystko super. Jak z kolei napęd wyłaczony to szarpie nimi.
Pomyslałem, że to problem z atakiem lub satelitami w przednim moście. Rozebrałem wszystko i ku mojemu zdziwieniu. Wszystko w najlepszym porządku. Dodam jeszcze, że u mnie nie ma satelit tylko mam jakby sprzęgło kłowe. Ale to chyba nieistotne na tym etapie.
Wymieniłem również tulejkę i pierścienie na sprzęgle przedniego napędu. Tam też jest wszystko w najlepszym porządku wg mojej oceny.
Prosze pomóżcie, co to może być? Miał ktoś podobny przypadek?
-
Przez Rider
Witam, po uruchomieniu ciągnika miga kontrolka WOM, wałek się nie uruchamia, półbiegi nie działają, napęd, blokada też. Hydraulika i podnośnik działa normalnie.
Naciskając pedał sprzęgła normalnie zaświeca się kontrolka od ciśnienia oleju w skrzyni (po uruchomieniu normalnie gaśnie) oraz kontrolki żółw/zając te od półbiegów - rozumiem ze zasilanie Autotronic jest.
Na uruchomionym silniku wałkiem da się kręcić
Monitor na słupku nie działa
Gasząc silnik kontrolka WOM gaśnie.
Oporność na czujniku WOM (z tłu przy siłowniku ) oraz na pompie olejowej (przy filtrze hydr.) ok 450 Ohm - wg instrukcji ok, kręcąc ręką wom-em wartość się zmienia więc przypuszczam, że te czujniki są ok.
Podpinając zasilanie bezpośrednio z akumulatora do cewki WOM - wałek startuje, do cewki hamulca WOM - hamulec blokuje wałek.
Wersja komputera - Autotronic II
Pytanie co może być przyczyną migającej kontrolki WOM?
-
Przez Scoti
Witam wymieniłem sprzęgło w moim mf tarczki od napedu no i chyba tyle a teraz problem który mam to ze sie zapowietrza troche popracował w polu i znów nie ciągnął jak odpowietrzyłem to ciągnął więc gdzie moze łapać powietrze jakieś rady ?
-
Przez ursus485
Witam niedawno nabyłem massey fergusona 3070 do lekkiego remontu. teraz się okazało że nie działa cała hydraulika(pompa chyba wcale nie ciągnie) ten wałek co ją napędza obraca się swobodnie i po odpaleniu silnika się chyba wcale nie obraca . To jest wersja datatronic , czy komputer ma coś wspólnego z obracaniem się pompy ? Czy pompa jest w jakiś sposób wyłączalna a może pracuje cały czas po odpaleniu ? Proszę o pomoc każda rada się przyda z góry dziękuję . Pozdrawiam .
-

Rekomendowane odpowiedzi
Nowe problemy z układem hydraulicznym w Farmtrac 675 DT – ktoś miał...
Przyczepa dwuosiowa
Jeśli chcesz dodać odpowiedź, zaloguj się lub zarejestruj nowe konto
Jedynie zarejestrowani użytkownicy mogą komentować zawartość tej strony.
Zarejestruj nowe konto
Załóż nowe konto. To bardzo proste!
Zarejestruj sięZaloguj się
Posiadasz już konto? Zaloguj się poniżej.
Zaloguj się